ZNEČIŠTĚNÍ OVZDUŠÍ NA ÚZEMÍ ČESKÉ REPUBLIKY V ROCE 2004
Český hydrometeorologický ústav - Úsek ochrany čistoty ovzduší



2.2 Hodnocení kvality ovzduší

Míra znečištění ovzduší je objektivně zjišťována monitorováním koncentrací znečišťujících látek v přízemní vrstvě atmosféry sítí měřicích stanic. Při hodnocení kvality ovzduší jsou pak především porovnávány zjištěné imisní úrovně s příslušnými imisními limity, případně s přípustnými četnostmi překročení těchto limitů, jakožto úrovněmi, které by dle legislativy v ochraně ovzduší neměly být od zákonem stanoveného data nadále překračovány. Základní právní normou upravující hodnocení kvality ovzduší je zákon č. 86/2002 Sb., o ochraně ovzduší a o změně některých dalších zákonů (zákon o ochraně ovzduší), ve znění zákonů č. 521/2002 Sb., č. 92/2004 Sb., č. 186/2004 Sb., č. 695/2004 Sb. a č. 180/2005 Sb. Podrobnosti pak dále specifikuje nařízení vlády č. 350/2002 Sb., kterým se stanoví imisní limity a podmínky a způsob sledování, posuzování, hodnocení a řízení kvality ovzduší, ve znění nařízení vlády č. 60/2004 Sb. Česká legislativa reflektuje požadavky Evropské unie stanovené směrnicemi pro kvalitu venkovního ovzduší, tedy rámcovou směrnicí 96/62/EC o hodnocení a řízení kvality ovzduší a navazujícími dceřinými směrnicemi 1999/30/EC (pro SO2, NO2 a NOx, prašný aerosol a olovo), 2000/69/EC (pro benzen a oxid uhelnatý), 2002/3/EC (pro ozon a jeho prekursory) a 2004/107/EC (pro arsen, kadmium, rtuť, nikl a polycyklické aromatické uhlovodíky).

Tato část ročenky prezentuje hodnocení kvality ovzduší v roce 2004 podle požadavků české legislativy v oblasti ochrany ovzduší. Podle zákona o ovzduší je hodnocení zaměřeno zejména na vymezení oblastí se zhoršenou kvalitou ovzduší. Ty se vymezují zvlášť z hlediska zajištění ochrany zdraví populace a zvlášť z hlediska ochrany ekosystémů a vegetace.

Hodnocení kvality ovzduší podle nové legislativy navazuje na výsledky a zejména metodické postupy vyvinuté v rámci dvou projektů VaV, jejichž nositelem byl ČHMÚ. Jedná se o projekt VaV/740/2/00 „Vyhodnocení připravenosti České republiky splnit požadavky na kvalitu ovzduší podle směrnic EU a Konvence LRTAP“ [9] a o projekt VaV/740/3/02 „Integrované hodnocení a řízení kvality ovzduší v návaznosti na dceřiné směrnice týkající se TK, PAHs, PM10 a benzenu“ [23]. Výsledky řešení projektů VaV/740/2/00 a VaV/740/3/02 jsou v plném rozsahu dostupné na webových stránkách ČHMÚ.

Směrnice Evropské unie pro kvalitu ovzduší, ze kterých vychází i česká právní úprava, požadují po členských státech rozdělit své území do zón a aglomerací, přičemž zóny jsou především chápány jako základní jednotky pro řízení kvality ovzduší. Směrnice pak zejména specifikují požadavky na posuzování – klasifikaci zón z hlediska kvality ovzduší. Zákon o ochraně ovzduší tuto problematiku řeší v § 7 pojednávajícím o zvláštní ochraně ovzduší. V odstavci 1 zavádí pojem „oblasti se zhoršenou kvalitou ovzduší“ jako oblasti, kde je překročena hodnota jednoho nebo více imisních limitů nebo cílového imisního limitu pro ozon, případně hodnota jednoho či více imisních limitů zvýšená o příslušné meze tolerance. Zvláštní ochranu ovzduší pak zákon požaduje v sídelních seskupeních, tj. osídleném území, v němž žije nejméně 250 000 obyvatel, případně území s menším počtem obyvatel, kde vysoká hustota osídlení vyžaduje zvláštní opatření k ochraně ovzduší a nutnost stanovení a řízení kvality ovzduší na tomto území.

Ve smyslu směrnice 96/62/EC byly v rámci uvedeného projektu VaV/740/2/00 navrženy aglomerace podle počtu obyvatel a na základě výsledků dlouhodobého hodnocení kvality ovzduší tak, jak je uvádí tabulka 2.2.1. Aglomerace Praha a Brno představují oblasti, kde problém znečištění ovzduší je spojen zejména s vysokou hustotou osídlení, v aglomeraci Ostrava (zahrnující města Ostrava, Karviná, Havířov, Český Těšín a Třinec) a v aglomeraci Ústí nad Labem (zahrnující pás severočeských průmyslových měst v uhelné pánvi: Ústí nad Labem, Děčín, Teplice, Most, Chomutov, Litvínov, Klášterec nad Ohří a Kadaň) je problém znečištění ovzduší vedle velké hustoty osídlení spojen také s vysokou koncentrací průmyslu. Důsledkem vymezení aglomerací je, že v těchto oblastech bude hodnocení kvality ovzduší stanovováno především na základě pravidelného a kvalitního měření.

V oblastech nezahrnutých do oblastí se zhoršenou kvalitou ovzduší, tj. v oblastech, kde nedochází k překročení žádného z imisních limitů, je potřeba zajistit dodržování dobré kvality ovzduší. To odpovídá jedné ze základních zásad směrnice 96/62/EC, která obdobně požaduje, aby již jednou dosažená vyhovující kvalita ovzduší byla nadále dodržována.

Pro oblasti se zhoršenou kvalitou ovzduší pak zákon v odst. 6, § 7 stanovuje pro orgány kraje a obce povinnost vypracovávat programy na zlepšení kvality ovzduší pro ty znečišťující látky, u kterých jsou překračovány imisní limity a meze tolerance, v případě přízemního ozonu cílové imisní limity, s cílem dosáhnout imisních limitů ve lhůtách uvedených v prováděcím právním předpisu zákona. Identifikace oblastí, kde jsou překračovány imisní limity stanovené nařízením vlády, je nezbytným východiskem pro přípravu programů na zlepšení kvality ovzduší, popř. krajských a místních regulačních řádů v těchto oblastech.

Podle obecně přijímaného výkladu v členských zemích má vymezení oblastí vycházet především z administrativního členění státu tak, aby oblasti jako administrativní jednotky mohly plnit požadavky, které směrnice stanovují na hodnocení kvality ovzduší, na předávání zpráv Komisi a řízení kvality ovzduší.

Tab. 2.2.1 Návrh aglomerací

2.2.1 Mapování územního rozložení charakteristik kvality ovzduší

Česká legislativa přejímá z rámcové směrnice 96/62/EC obecné přístupy pro stanovení úrovně kvality ovzduší a případného překročení stanovených imisních limitů v zónách pro účely řízení kvality ovzduší s cílem dosáhnout ve stanovených termínech kvality ovzduší vyhovující imisním limitům a cílovým imisním limitům. Stanovuje, že v oblastech nad horní mezí pro posuzování je pro stanovení úrovně znečištění rozhodující měření látek ve venkovním ovzduší. Stanovení úrovní znečištění má pokrývat celou zónu, nejen pouhé okolí monitorovací stanice. Problém hodnocení kvality ovzduší v zónách – zejména identifikace a vymezení oblastí případného překračování imisních limitů v zóně na základě měření – je tak problém územního odhadu rozložení sledované míry kvality ovzduší a spočívá v tom, jak zobecnit „bodová“ měření při dané hustotě a rozložení monitorovacích stanic a akceptovatelné chybě odhadu na celé hodnocené území zóny. Zvýšení prostorového pokrytí měření lze dosáhnout provedením ověřovacích měření. Směrnice pro kvalitu venkovního ovzduší a souhlasně i národní legislativa nevyžaduje měření jako jediný nástroj určování úrovní v zóně a předpokládá, v závislosti na úrovni znečištění, využití modelování, případně odborných odhadů a jejich kombinaci. Předností modelů je, že ve srovnání s bodovými měřeními lépe vystihují pokrytí posuzovaného území, nicméně jsou všeobecně považovány za méně přesné než měření. Modelováním se především myslí kauzální modely rozptylu a transportu včetně chemických transformací znečišťujících příměsí. Nezastupitelnou roli však mají i empirické, matematicko-statistické modely odhadu časového či prostorového rozložení imisních charakteristik.

Mapy imisních charakteristik a atmosférické depozice jsou vytvářeny na základě propojení a integrace systému GIS, relační databáze a modelových výpočtů, což je umožněno využitím výkonné výpočetní techniky a moderního softwarového vybavení. Důležitou roli hraje i doplňování a korekce objektivních výpočtů na základě odborného odhadu pracovníků pověřené instituce. Těmito postupy je možné velmi kvalitně hodnotit znečištění ovzduší a vytvořit adekvátní vizualizace a prezentace vhodné pro uživatele, ať už jsou jimi pracovníci rozhodovací sféry, státní správy či odborná i laická veřejnost.

Kromě využití výsledků přímého měření koncentrací znečišťujících látek jsou využity i výsledky modelování. Pro území ČR se používá gaussovského disperzního modelu SYMOS 97, který počítá koncentrace na základě podrobných emisních inventur a meteorologických podmínek relevantních pro období hodnoceného kalendářního roku. Pro účely výpočtu je celé území státu rozděleno zejména na základě geomorfologického členění do 47 oblastí, které mají rozdílné meteorologické podmínky. Každou z oblastí charakterizuje příslušná větrná růžice, která je jedním ze vstupů do modelu. Do výpočtu jsou zahrnuty poslední dostupné informace o zdrojích znečišťování z emisní databáze ISKO a informace o emisích z liniových zdrojů. Kromě zdrojů v ČR jsou do výpočtu pravidelně zahrnovány i dostupné informace o emisích ze zahraničních zdrojů, které mají nezastupitelnou úlohu zejména při výpočtu koncentrací v pohraničních oblastech, mohou se však uplatnit i v regionech od hranic vzdálenějších.

Jedním z důležitých předpokladů při tvorbě polí rozložení koncentrací je pečlivý výběr měřicích stanic zahrnutých do hodnocení z hlediska jejich využívání, klasifikace a reprezentativnosti. Při tvorbě konečných mapových podkladů při asimilaci modelových a naměřených dat je použita metoda lineární regrese závislosti obou uvažovaných přístupů (modelu a měření) a pro vytvoření výsledných polí je aplikována modifikovaná verze IDW se započtením váhy stanice a určením reprezentativního okolí stanic. Základním určením míry reprezentativnosti je klasifikace stanic. Pozaďové stanice (typ „rural“, případně „urban background“) s velkou reprezentativností (desítky kilometrů) jsou stanice ovlivňované pouze vzdálenými zdroji, pro vystižení lokálních poměrů jsou zohledňovány dopravní a průmyslové stanice (typ „traffic“ a „industrial“) s nejmenším poloměrem reprezentativnosti přímo ovlivňované místními zdroji.

V hodnocení se nově objevuje termín „hot-spot“, kterým se běžně označují lokality s vysokým znečištěním ovzduší. V našem hodnocení se pod tímto názvem rozumí stanice orientované výhradně na dopravu a z toho vyplývající imisní zatížení. Tyto stanice splňují kritéria umístění vzorkovacích zařízení orientovaných na dopravu dle nařízení vlády č. 350/2002 Sb. (tedy alespoň 25 m od kraje velkých křižovatek, max. 5 m od okraje silnice).

2.2.2 Kvalita ovzduší vzhledem k imisním limitům pro ochranu zdraví

V souladu s legislativou pro kvalitu ovzduší EU stanovuje česká legislativa imisní limity cílené na ochranu zdraví odvozené od doporučení WHO. Znečišťující látky požadované národní legislativou, které je třeba sledovat a hodnotit vzhledem k limitům pro ochranu zdraví jakožto látky s prokazatelně škodlivými účinky na zdraví populace, jsou:

  1. oxid siřičitý
  2. suspendované částice frakce PM10
  3. oxid dusičitý
  4. olovo
  5. oxid uhelnatý
  6. benzen
  7. ozon
  8. kadmium
  9. arsen
  10. nikl
  11. rtuť
  12. benzo(a)pyren
  13. amoniak.

Přehled imisních limitů a mezí tolerance pro ochranu zdraví, horních a dolních mezí pro posuzování pro uvedené látky dle nařízení vlády č. 350/2002 Sb. uvádí tab. 2.2.2. Tyto imisní limity včetně horní a dolní meze pro posuzování jsou legislativou stanovenými úrovněmi pro posuzování kvality ovzduší. V dále prezentovaných mapách a diagramech je použito označení příslušných úrovní (kategorií) tak, jak je uvádí tab. 2.2.2.

Hodnocení kvality ovzduší je dokumentováno tabulkami uvádějícími lokality s nejvyššími hodnotami imisních charakteristik posuzovaných podle české legislativy. Stínování v tabulkách označuje:
Překročení meze tolerance, případně imisního limitu v případech bez meze tolerance
Překročení imisního limitu
Hodnota je pod imisním limitem.

V tabulkách je vždy uvedeno nejméně deset stanic s nejvyššími hodnotami příslušné imisní charakteristiky. Mapové diagramy přehledně znázorňují vývoj příslušných imisních charakteristik v letech 1992–2004. Překročení limitu zvýšeného o mez tolerance v roce 2004 je v těchto mapových diagramech indikováno červeně uvedeným jménem stanice. Dále jsou prezentovány mapy ukazující územní rozložení takové charakteristiky. Na těchto mapách jsou i vyznačeny měřicí stanice, rozlišené tvarem podle typu stanice a barvou podle kategorie, do níž spadá hodnota příslušné charakteristiky naměřená na prezentované stanici.

Pro stanice a imisní charakteristiky, kde počet překročení imisního limitu včetně meze tolerance byl vyšší než povolený, jsou pro indikaci období roku, kdy došlo k překročení imisních limitů, prezentovány průběhy 24hodinových, případně hodinových koncentrací v roce 2004.

V hodnocení roku 2004 jsou na konec této kapitoly zařazeny grafy vystihující trendy charakteristik vybraných znečišťujících látek v aglomeracích a na celém území České republiky v průběhu let 1994–2004. Hodnoty v grafech jsou spočteny jako celkový průměr z průměrných koncentrací těch stanic, které měřily sledovanou látku po celé období 1994–2004.

Tab. 2.2.2 Limitní hodnoty pro ochranu zdraví podle nařízení vlády č. 350/2002 Sb., kterým se stanoví imisní limity a podmínky a způsob sledování, posuzování, hodnocení a řízení kvality ovzduší

2.2.2.1 Oxid siřičitý

Situaci ve znečištění oxidem siřičitým v roce 2004 ve vztahu k imisním limitům stanoveným legislativou dokumentují tab. 2.2.32.2.4 a obr. 2.2.12.2.4. Z obr. 2.2.1 a 2.2.4 je zejména patrné, že stanovený imisní limit pro 24hodinovou koncentraci oxidu siřičitého 125 μg.m-3 nebyl v roce 2004 více než třikrát překročen na žádné lokalitě. Roční imisní limit této látky rovněž nebyl překročen na žádné lokalitě. Podobně nebyl překročen na žádném měřicím místě ani povolený počet překročení hodinové koncentrace oxidu siřičitého 380 μg.m-3. Největší počet překročení hodinového imisního limitu této látky byl dosažen na stanici ČEZ Komáří Vížka (2x).

Z mapových diagramů (obr. 2.2.1) je patrné nezpochybnitelné zlepšení kvality ovzduší v důsledku výrazného poklesu koncentrací oxidu siřičitého doložené markantním poklesem čtvrté nejvyšší 24hodinové koncentrace SO2 v období 1997–2000 na všech stanicích. V následujících letech se trend poklesu zmírnil, někde došlo opět k mírnému vzestupu. V roce 2004 došlo v některých oblastech České republiky, oproti předchozímu roku, k mírnému snížení znečištění ovzduší touto látkou.

Obrázky 2.2.3 a především 2.2.4 mají ve smyslu požadavku české legislativy dokladovat epizody překročení imisních limitů. Obrázek 2.2.4 potvrzuje situaci z minulých let v okolí stanice ZÚ Úštěk. V roce 2004 však 24hodinové koncentrace překročily stanovený limit 125 μg.m-3 jen 2x.

Jak ukazuje obrázek 2.2.2 prezentující územní rozložení čtvrté nejvyšší 24hodinové koncentrace SO2 a jak dokladují tabulky 2.2.2 a 2.2.4, znečištění ovzduší oxidem siřičitým nepřekračuje v roce 2004 nikde imisní limity pro ochranu zdraví více než je tolerovaný počet překročení. Znečištění oxidem siřičitým tedy není důvodem pro zařazení kterékoli části území mezi oblasti se zhoršenou kvalitou ovzduší.

Tab. 2.2.3 Stanice s nejvyššími hodnotami 25. a maximální hodinové koncentrace oxidu siřičitého

Tab. 2.2.4 Stanice s nejvyššími počty překročení 24hod. limitu oxidu siřičitého

Tab. 2.2.5 Stanice s nejvyššími hodnotami ročních průměrných koncentrací oxidu siřičitého

Obr. 2.2.1   4. nejvyšší 24hod. koncentrace a roční průměrné koncentrace oxidu siřičitého v letech 1992–2004 na vybraných stanicích

Obr. 2.2.2 Pole 4. nejvyšší 24hod. koncentrace oxidu siřičitého v roce 2004

Obr. 2.2.3 Stanice s nejvyššími hodinovými koncentracemi oxidu siřičitého v roce 2004

Obr. 2.2.4 Stanice s nejvyššími 24hod. koncentracemi oxidu siřičitého v roce 2004


 

2.2.2.2 Suspendované částice frakce PM10

Znečištění ovzduší suspendovanými částicemi frakce PM10, jak dokladují tab. 2.2.6 a 2.2.7, podobně jako obr. 2.2.5, zůstává jedním z hlavních problémů zajištění kvality ovzduší dle požadavků a časových termínů legislativy. Obrázek 2.2.5 ukazuje vzestupný trend ve znečištění ovzduší PM10 téměř na všech stanicích ČR od roku 2001 do roku 2003. V roce 2004 byl uvedený trend zastaven a došlo naopak k poklesu koncentrací PM10 téměř na všech vybraných stanicích. Z meteorologického hlediska byl rok 2004 byl výrazně vlhčí než rok 2003, který byl naopak extrémně suchý. Tato skutečnost byla zřejmě hlavním důvodem poklesu koncentrací PM10 v roce 2004 proti předchozímu roku.

Nejvíce zatíženou souvislou oblastí je, stejně jako v předešlých letech, Ostravsko. Imisní limit 24hodinové koncentrace PM10 zvýšený o mez tolerance byl v roce 2004 překročen více než 35x zejména na stanicích Moravskoslezského kraje: Bohumín, Český Těšín, Havířov, Ostrava-Přívoz, Karviná, Ostrava- Zábřeh, Věřňovice, Ostrava-Fifejdy a Frýdek-Místek, dále na stanicích hlavního města Prahy: Smíchov a Legerova, Středočeského kraje: Kladno-Švermov, Ústeckého kraje: Horní Jiřetín, Ústí n. L.-město a Děčín. Z celkového počtu 94 stanic, kde byla měřena frakce PM10 suspendovaných částic, došlo na 55 stanicích k překročení 24hodinového imisního limitu PM10 ve více než 35případech, z toho na 42 stanicích dokonce i k překročení imisního limitu a meze tolerance.

Roční imisní limit PM10 byl překročen na 17 stanicích, kde byla překročena i mez tolerance.

V případě obou uvedených imisních charakteristik frakce PM10 došlo v roce 2004 ke snížení počtu lokalit, na kterých je indikováno překročení imisního limitu. Důvodem toho však není faktické snížení znečištění, ale především meteorologické podmínky (r. 2003 byl extrémně suchý). Obrázky 2.2.6 a 2.2.7 ukazují, že překračování imisního limitu PM10 se i přes určitý pokles koncentrací této látky v roce 2004 oproti roku 2003 stále významným způsobem podílí na zařazení obcí mezi oblasti se zhoršenou kvalitou ovzduší. Imisní limit pro 24hodinové koncentrace PM10 byl i v roce 2004 překročen více než 35x, zejména v Moravskoslezském, Ústeckém, Středočeském a Olomouckém kraji a v Praze. Zejména z obrázku 2.2.6 je patrné, že ve městech, kde se provádí měření PM10, jsou výsledné koncentrace této látky nadlimitní. Není však vyloučeno, že i ve městech, kde není měření PM10, mohou být rovněž koncentrace této látky nadlimitní. Aplikace modelu je v případě znečištění PM10 obtížná, jelikož v modelu jsou započítány pouze emise z primárních zdrojů. Významný podíl ve znečištění ovzduší PM10 mají sekundární částice1 a resuspendované částice, které nejsou zahrnuty v emisích z primárních zdrojů.

Oblasti, kde koncentrace PM10 překračují příslušné imisní limity, představují téměř 3,5 % plochy území státu a žije zde více než 34 % populace.

Grafické znázornění chodů 24hodinových koncentrací v roce 2004 na stanicích, kde došlo k překročení imisního limitu včetně meze tolerance, ukazuje obr. 2.2.8. Ve výběru 12 stanic s největším počtem překročení LV+MT je 9 stanic z Moravskoslezského kraje.

1Sekundárníčástice jsou částice vzniklé reakcemi mezi oxidy síry a dusíku a mezi amoniakem a organickými sloučeninami v ovzduší. Definice dle: http://glossary.eea.eu.int/EEAGlossary/S/secondary_particles, viz též [22]

Tab. 2.2.6 Stanice s nejvyššími počty překročení 24hod. limitu PM10

Tab. 2.2.7 Stanice s nejvyššími hodnotami ročních průměrných koncentrací PM10

Obr. 2.2.5 36. nejvyšší 24hod. koncentrace a roční průměrné koncentrace PM10 v letech 1994–2004 na vybraných stanicích

Obr. 2.2.6 Pole 36. nejvyšší 24hod. koncentrace PM10 v roce 2004

Obr. 2.2.7 Pole roční průměrné koncentrace PM10 v roce 2004

Obr. 2.2.8 Stanice s nejvyšším překročením LV+MT pro 24hod. koncentrace PM10 v roce 2004



2.2.2.3 Oxid dusičitý

K překročení ročního imisního limitu oxidu dusičitého dochází pouze na omezených, dopravně exponovaných lokalitách aglomerací a velkých měst. Z celkového počtu 142 lokalit, kde byl v roce 2004 monitorován oxid dusičitý, došlo k překročení ročního imisního limitu 40 μg.m-3 na 3 automatizovaných monitorovacích stanicích (AMS) v Praze (Legerova, náměstí Republiky a Smíchov). Mez tolerance byla překročena na dopravně orientované stanici Praha 2-Legerova (hot-spot).

Uvedená stanice Legerova vykazuje velmi vysoký počet překročení imisního limitu hodinové koncentrace oxidu dusičitého – 212x a s mezí tolerance 18x, což přestavuje maximální tolerovaný počet překročení za rok (tab. 2.2.8). Výsledky této stanice dokládají velký problém hlavního města Prahy s dopravou vedenou středem města. Ostatní stanice ČR (s platným ročním průměrem) nepřekračují hodinový imisní limit s mezí tolerance.

Na většině stanic prezentovaných na obr. 2.2.9 měla roční průměrná koncentrace i 19. nejvyšší hodinová koncentrace oxidu dusičitého do roku 2001 mírně sestupný trend. V roce 2002 byl uvedený trend zastaven a v roce 2003 došlo na většině lokalit k mírnému zvýšení znečištění NO2. V roce 2004 byl naopak zaznamenán, téměř na všech vybraných stanicích, mírný pokles koncentrací NO2 oproti předchozímu roku.

Pokud se týká pole roční průměrné koncentrace NO2 (obr. 2.2.10), došlo ke snížení relativního podílu v koncentracích této látky v kategorii nad 32 μg.m-3. Obr. 2.2.11 předkládá chody hodinových koncentrací v roce 2004, kde je patrné překročení imisního limitu. AMS Praha 2-Legerova, která zahájila měření v srpnu 2003 jako dopravní stanice („hot-spot“) monitorující dopravní zátěž na vysoce frekventované komunikaci, vykazuje za rok 2004 překročení imisního limitu 212x. Dopravně zatížená stanice ZÚ Děčín OHS, překračuje imisní limit 42x. Vzhledem k výpadkům v měření však tato stanice nemá platný roční průměr a její použití pro hodnocení kvality ovzduší je omezené.

Konstrukce mapy pole NO2 zahrnuje kombinaci měření a modelování; v roce 2004 jsou výsledky modelování z dopravy zahrnuty podrobněji než v uplynulých letech. Vzhledem k měřítku modelování nejsou zahrnuty všechny úseky silnic nižších kategorií. Vyšší koncentrace této látky mohou být i v blízkosti místních komunikací v obcích s intenzivní dopravou a hustou místní dopravní sítí.

Tab. 2.2.8 Stanice s nejvyššími hodnotami 19. a maximální hodinové koncentrace NO2

Tab. 2.2.9 Stanice s nejvyššími hodnotami ročních průměrných koncentrací NO2

Obr. 2.2.9 19. nejvyšší hodinové koncentrace a roční průměrné koncentrace NO2 v letech 1992–2004 na vybraných stanicích

Obr. 2.2.10 Pole roční průměrné koncentrace NO2 v roce 2004

Obr. 2.2.11 Stanice s nejvyššími hodinovými koncentracemi NO2 v roce 2004


2.2.2.4 Olovo

Většina olova obsaženého v atmosféře pochází z antropogenních emisí, mezi které jsou řazeny vysokoteplotní procesy, především spalování fosilních paliv, výroba železa a oceli a metalurgie neželezných kovů. V případě užívání olovnatých benzinů se jedná o velmi významný zdroj antropogenních emisí. Z přirozených zdrojů je významné zvětrávání hornin a vulkanická činnost [14].

Olovo se v ovzduší vyskytuje ve formě jemných částic s četnostním rozdělením velikosti charakterizovaným středním aerodynamickým průměrem menším než 1 μm.

Při dlouhodobé expozici lidského organismu se projevují účinky na biosyntézu hemu, účinky na nervový systém a účinky na krevní tlak. Důkazy karcinogenity olova a jeho sloučenin pro člověka jsou klasifikovány jako nedostatečné [14, 15].

Na žádné z celkového počtu 61 lokalit, které dodaly za r. 2004 dostatek údajů pro výpočet platného ročního průměru, nedošlo k překročení stanoveného imisního limitu (tab. 2.2.10). Nejvyšší koncentrace olova bylo v roce 2004 dosaženo na lokalitě ČHMÚ Ostrava-Přívoz, a to jak ve frakci PM10 (58,6 ng.m-3) tak i ve frakci PM2,5 (55,5 ng.m-3). Tab. 2.2.10 ukazuje, že koncentrace olova na všech lokalitách leží hluboko pod imisním limitem a nedosahují ani úrovně dolní meze pro posuzování. Z obr. 2.2.12 je zřejmé, že úrovně olova jsou na většině lokalit dlouhodobě pod úrovní imisního limitu. Průběhy 7denních, případně 14denních průměrných koncentrací olova na vybraných stanicích prezentuje obr. 2.2.13.


Tab. 2.2.10 Stanice s nejvyššími hodnotami ročních průměrných koncentrací olova v ovzduší

Obr. 2.2.12 Roční průměrné koncentrace olova v ovzduší v letech 1992–2004 na vybraných stanicích

Obr. 2.2.13 7/14denní průměrné koncentrace olova v ovzduší na vybraných stanicích v roce 2004


2.2.2.5 Oxid uhelnatý

Antropogenním zdrojem znečištění ovzduší oxidem uhelnatým jsou procesy, kdy může docházet k nedokonalému spalování fosilních paliv. Je to především doprava a dále stacionární zdroje, zejména domácí topeniště.

V roce 2004 se oxid uhelnatý měřil celkem na 33 lokalitách. Maximální denní 8hodinové klouzavé průměry oxidu uhelnatého (tab. 2.2.11 a obr. 2.2.14 a 2.2.15) nepřesahují imisní limit. Podobně jako v loňském roce byl na všech stanicích s výjimkou dopravně orientované stanice Praha 2- Legerova naměřen maximální denní 8hodinový klouzavý průměr pod dolní mezí pro posuzování. Maximální denní 8hod. klouzavý průměr překročil hodnotu 10 000 μg.m-3 na stanicích Praha 5- Řeporyje a Praha 5-Svornosti. Ani jedna z těchto stanic však nesplnila požadavek na 90 % minimálního počtu verifikovaných dat dle přílohy č. 5 nařízení vlády č. 350/2002 Sb. Imisní limit tedy dle požadavků nařízení překročen nebyl.


Tab. 2.2.11 Stanice s nejvyššími hodnotami maximálních 8hod. klouzavých průměrných koncentrací oxidu uhelnatého

Obr. 2.2.14 Maximální 8hod. klouzavé průměrné koncentrace oxidu uhelnatého v letech 1994–2004 na vybraných stanicích

Obr. 2.2.15 Stanice s nejvyššími hodnotami maximálních 8hod. klouzavých průměrných koncentrací oxidu uhelnatého v roce 2004


2.2.2.6 Benzen

S rostoucí intenzitou automobilové dopravy roste význam sledování znečištění ovzduší aromatickými uhlovodíky. Rozhodujícím zdrojem atmosférických emisí aromatických uhlovodíků – zejména benzenu a jeho alkyl derivátů – jsou především výfukové plyny benzinových motorových vozidel. Dalším významným zdrojem emisí těchto uhlovodíků jsou ztráty vypařováním při manipulaci, skladování a distribuci benzinů. Emise z mobilních zdrojů představuje cca 85 % celkových emisí aromatických uhlovodíků, přičemž převládající část připadá na emise z výfukových plynů. Odhaduje se, že zbývajících 15 % emisí pochází ze stacionárních zdrojů emisí, přičemž rozhodující podíl připadá na procesy produkující aromatické uhlovodíky a procesy, kde se tyto sloučeniny používají k výrobě dalších chemikálií.

Data ukazují, že obsah benzenu v benzinu je kolem 1,5 %, zatímco paliva dieselových motorů obsahují relativně zanedbatelné koncentrace benzenu. Benzen obsažený ve výfukových plynech je především nespálený benzen z paliva. Dalším příspěvkem emisí benzenu z výfukových plynů je benzen vzniklý z nebenzenových aromatických uhlovodíků obsažených v palivu (70–80 % benzenu v emisích). Částečně je benzen ve výfukových plynech tvořen také z nearomatických uhlovodíků. Mezi nejvýznamnější škodlivé efekty expozice benzenu patří poškození krvetvorby a dále jeho karcinogenní účinky [16].

Situaci znečištění benzenem v roce 2004 charakterizuje tab. 2.2.12 a obr. 2.2.16. Z celkového počtu 21 lokalit, kde se v roce 2004 měřila koncentrace benzenu, nebyl imisní limit zvýšený o mez tolerance pro rok 2004 překročen na žádné z nich. Pouze na lokalitě ČHMÚ Ostrava-Přívoz byl ročním průměrem 7,7 ng.m-3 překročen imisní limit. Rozšířené měření v roce 2004 potvrdilo, že vyšší koncentrace souvisejí s průmyslovou činností (především s výrobou koksu) v blízkosti lokalit s měřením (Ostrava-Přívoz). S narůstající vzdáleností jsou již nižší (lokalita Ostrava-Fifejdy) a v rezidenčních oblastech Ostravy dále klesají (Ostrava-Poruba).


Tab. 2.2.12 Stanice s nejvyššími hodnotami ročních průměrných koncentrací benzenu

Obr. 2.2.16 Pole roční průměrné koncentrace benzenu v ovzduší v roce 2004

Obr. 2.2.17 Roční průměrné koncentrace benzenu v letech 1999–2004 na vybraných stanicích

Obr. 2.2.18 24hod. koncentrace na stanicích s nejvyššími ročními koncentracemi benzenu v roce 2004


 

2.2.2.7 Přízemní ozon

V přízemních vrstvách atmosféry vzniká přízemní ozon za účinku slunečního záření komplikovanou soustavou fotochemických reakcí zejména mezi oxidy dusíku, těkavými organickými látkami (zejména uhlovodíky) a dalšími složkami atmosféry. Přízemní ozon je označován za sekundární znečišťující látku, protože není významně primárně emitován z antropogenních zdrojů znečišťování ovzduší.

Nařízení vlády č. 350/2002 Sb. požaduje hodnocení koncentrace ozonu ve vztahu k ochraně lidského zdraví provádět jako průměr za poslední tři roky. Pokud nejsou tři roky k dispozici, je brán průměr za dva roky, popř. jeden rok v souladu s požadavky nařízení vlády. V roce 2004 byl ozon měřen na 61 lokalitě, z nichž na 43 došlo k překročení cílového imisního limitu za tříleté období 2002–2004, popř. kratší (tab. 2.2.13). Podle tohoto hodnocení byl maximální počet překročení zaznamenán na lokalitě Krkonoše-Rýchory, kde průměrný počet překročení dosáhl počtu 79. Pokud nad rámec požadavků národní legislativy hodnotíme samostatně rok 2004, lze vyvodit, že z důvodu chladnějšího období duben–září 2004 (v tomto období koncentrace přízemního ozonu dosahují každoročně maximálních hodnot) byly koncentrace ozonu v tomto roce významně nižší. V roce 2004 byl cílový imisní limit překročen na pouhých 14 lokalitách. Maximálního počtu překročení imisní koncentrace 120 μg.m-3 bylo dosaženo na stanici Orlické hory-Zakletý I počtem překročení 42.

Koncentrace přízemního ozonu zpravidla rostou se vzrůstající nadmořskou výškou, což je potvrzeno i naměřenými daty za rok 2004.

Mapový diagram na obr. 2.2.18 znázorňuje 26. nejvyšší hodnotu maximálního 8hod. klouzavého průměru koncentrací ozonu (v průměru za 3 roky) pro období 1992–2004.

K překročení cílového imisního limitu ozonu pro ochranu zdraví došlo v průměru za roky 2002–2004 na 99,3 % území státu (obr. 2.2.19).

Tab. 2.2.13 uvádí přehled stanic s nejvyššími hodnotami maximálních denních 8hod. klouzavých průměrných koncentrací ozonu v průměru za 3 roky.

Tab. 2.2.14 prezentuje počty hodin překročení zvláštního imisního limitu pro ozon 180 μg.m-3 za celé období měření 1992–2004 na vybraných stanicích AIM.

Tab. 2.2.13 Stanice s nejvyššími hodnotami maximálních denních 8hod. klouzavých průměrných koncentrací ozonu

Tab. 2.2.14 Počty hodin překročení zvláštního imisního limitu pro ozon (180 μg.m-3) za rok na vybraných stanicích AIM, 1992–2004

Obr. 2.2.19 26. nejvyšší hodnoty maximálního 8hod. klouzavého průměru koncentrací ozonu v průměru za 3 roky v letech 1992–2004 na vybraných stanicích

Obr. 2.2.20 Pole 26. nejvyššího maximálního denního 8hod. klouzavého průměru koncentrace ozonu v průměru za 3 roky, 2002–2004

Obr. 2.2.21 Stanice s nejvyššími hodnotami maximálních denních 8hod. klouzavých průměrných koncentrací ozonu v období 2002-2004


2.2.2.8 Kadmium

Přirozené zdroje tvoří v globálním pohledu asi 10 % a patří mezi ně více než z poloviny vulkanická činnost. Zbylých 90 % tvoří antropogenní zdroje, převážně výroba železa, oceli, metalurgie neželezných kovů, spalování odpadů a fosilních paliv (hnědé uhlí, černé uhlí a těžké topné oleje) [17]. Méně významným zdrojem emisí je doprava.

Kadmium je navázáno převážně na částice jemné frakce (s aerodynamickým průměrem do 2,5 μm), která je spojena s větším rizikem negativního vlivu na lidské zdraví. Téměř veškeré kadmium je vázáno na částice do velikosti 10 μm. V částicích s aerodynamickým průměrem nad 10 μm najdeme minimální množství kadmia.

Dlouhodobá expozice kadmia ovlivňuje funkci ledvin. Kadmium je prokazatelně karcinogenní pro zvířata, důkazy pro jednoznačný závěr karcinogenity kadmia pro člověka jsou zatím omezené [15, 17]. V roce 2004 bylo měřeno kadmium celkem na 60 lokalitách, které dodaly dostatek údajů pro výpočet platného ročního průměru (20 stanic ČHMÚ, 40 stanic ZÚ, obr. 2.2.21).

Imisní limit zvýšený o mez tolerance pro rok 2004 nebyl překročen na žádné lokalitě. Imisní limit 5 ng.m-3 jako roční průměrná koncentrace byl v roce 2004 překročen na lokalitě Souš. Roční průměrná koncentrace kadmia ve frakci PM10 zde dosáhla hodnoty 5,8 ng.m-3. Koncentrace kadmia jsou na této lokalitě dlouhodobě vysoké. Z lokality Tanvald, na které byly v minulosti měřeny zvýšené koncentrace kadmia, nebyl dodán dostatečný počet dat pro výpočet ročního průměru. Naměřené hodnoty ale opět indikovaly zvýšené znečištění kadmiem.

Průběhy koncentrací kadmia během roku 2004 ukazuje pro vybrané stanice obr. 2.2.23.


Tab. 2.2.15 Stanice s nejvyššími hodnotami ročních průměrných koncentrací kadmia v ovzduší

Obr. 2.2.22 Roční průměrné koncentrace kadmia v ovzduší v letech 1992–2004 na vybraných stanicích

Obr. 2.2.23 Pole roční průměrné koncentrace kadmia v ovzduší v roce 2004

Obr. 2.2.24 1/14denní průměrné koncentrace kadmia v ovzduší na vybraných stanicích v roce 2004


2.2.2.9 Arsen

Arsen se vyskytuje v mnoha formách anorganických i organických sloučenin. Přírodní zdroje tvoří z globálního pohledu asi jednu čtvrtinu celkových emisí [17] a patří mezi ně v prvé řadě vulkanická činnost, méně významné jsou emise z vegetace. Z antropogenních činností jsou významné hlavně spalovací procesy (hnědé uhlí, černé uhlí a těžké topné oleje), výroba železa a oceli a výroba mědi a zinku.

Arsen se vyskytuje převážně v částicích jemné frakce (s aerodynamickým průměrem do 2,5 μm), která může být transportována na delší vzdálenost a pronikat hlouběji do dýchací soustavy. Téměř veškerý arsen je vázán na částice s aerodynamickým průměrem do velikosti 10 μm [17]. Anorganický arsen může vyvolat akutní, subakutní účinky nebo chronické účinky, které mohou být lokální nebo zasáhnout organismus celkově. Kritickým účinkem vdechování arsenu je rakovina plic [15, 17].

Z celkového počtu 61 lokalit (20 ČHMÚ, 41 ZÚ), které dodaly dostatek údajů pro výpočet platného ročního průměru pro rok 2004, nebyl na rozdíl od předchozích let imisní limit překročen na žádné z nich. Nejvyššího ročního průměru dosáhla hodnotou 5 ng.m-3 stanice Ostrava-Přívoz HS (tab. 2.2.16). Jak je patrné i z obr. 2.2.25, celková zátěž území ČR arsenem oproti předchozím rokům poklesla.

Průběhy krátkodobých (denních, případně 14denních koncentrací, podle režimu měření na uvedené stanici) průměrných koncentrací arsenu na obr. 2.2.27 vykazují sezónní charakter průběhu krátkodobých koncentrací arsenu v ovzduší a dokladují významný vnos arsenu do ovzduší ze spalování fosilních paliv, zejména v okolí prezentovaných stanic.


Tab. 2.2.16 Stanice s nejvyššími hodnotami ročních průměrných koncentrací arsenu v ovzduší

Obr. 2.2.25 Roční průměrné koncentrace arsenu v ovzduší v letech 1996–2004 na vybraných stanicích

Obr. 2.2.26 Pole roční průměrné koncentrace arsenu v ovzduší v roce 2004

Obr. 2.2.27 1/14denní průměrné koncentrace arsenu v ovzduší na vybraných stanicích v roce 2004


2.2.2.10 Nikl

Jedná se o pátý nejhojnější prvek zemského jádra, i když v zemské kůře je jeho zastoupení nižší. Nikl je z globálního hlediska produkován z 26 % přirozenými zdroji (kontinentální prach a vulkanická činnost). Mezi hlavní antropogenní zdroje lze řadit spalování těžkých topných olejů, těžbu niklových rud a rafinaci niklu, spalování odpadu a výrobu železa a oceli.

Nikl se vyskytuje v atmosférickém aerosolu v několika chemických sloučeninách, které se liší svou toxicitou k lidskému zdraví i ekosystémům.

Vyskytuje se až z 30 % v aerosolu s aerodynamickým průměrem rovným nebo větším než 10 μm, který rychle sedimentuje v blízkosti zdroje. Zbylé částice obsahující nikl tvoří frakci menší než 10 μm a mohou tak být transponovány na delší vzdálenosti [17].

Ze zdravotního hlediska způsobuje alergické kožní reakce a je hodnocen jako karcinogenní látka pro člověka [15, 17].

Z celkového počtu 45 lokalit (20 ČHMÚ, 25 ZÚ), ze kterých byl obdržen dostatek údajů pro výpočet platného ročního průměru za rok 2004, nebylo, obdobně jako v předchozích letech, indikováno překročení stanoveného imisního limitu. Nejvyšší platný roční průměr byl naměřen na lokalitě Praha 10-Šrobárova s roční průměrnou koncentrací 5 ng.m-3, která leží hluboko pod dolní mezí pro posuzování.


Tab. 2.2.17 Stanice s nejvyššími hodnotami ročních průměrných koncentrací niklu v ovzduší

Obr. 2.2.28 Roční průměrné koncentrace niklu v ovzduší v letech 1992–2004 na vybraných stanicích

Obr. 2.2.29 1/7/14denní průměrné koncentrace niklu v ovzduší na vybraných stanicích v roce 2004


2.2.2.11 Rtuť

Mezi hlavní antropogenní zdroje patří převážně spalování fosilních paliv, průmyslová výroba chlóru a hydroxidu sodného, metalurgie, výroba cementu a spalování odpadu. Rtuť a její sloučeniny se používají v barvářství, v bateriích a v řadě měřicích a kontrolních zařízení (teploměry) [18].

Z celkových emisí tvoří antropogenní emise v globálním pohledu přibližně 40 %. Z přírodních zdrojů je významné uvolňování rtuti z vodních prostředí a z vegetace, vulkanická činnost a odplyňování geologických materiálů. Dle odhadů je v Evropě emitováno ve formě plynné Hg0 60 % antropogenních emisí, 30 % je emitováno jako dvojmocná plynná rtuť a jen 10 % rtuti je navázáno na částice. Většina emisí z přírodních zdrojů je ve formě plynné Hg0 [18].

Studie pracovní expozice ukázaly, že při vysokých koncentracích plynné rtuti může docházet k ovlivňování funkce nervové soustavy a ledvin [18]. Reálnějším problémem je fakt, že zvýšená koncentrace rtuti v ovzduší vede ke zvýšení atmosférické depozice na vodní plochy. Toto má za důsledek zvýšení koncentrace methylrtuti v těle sladkovodních ryb a její akumulace v potravních řetězcích [15, 18].

Za rok 2004 byla do databáze ISKO dodána data o koncentraci rtuti v ovzduší z lokality ČHMÚ Ústí n. L.-město a z lokality Karviná-ZÚ. Pouze druhá z nich měla dostatečný počet měření pro výpočet platného ročního průměru, který byl roven hodnotě 1,4 ng.m-3 a ležel tedy hluboko pod dolní mezí pro posuzování.

Tab. 2.2.18 Stanice s nejvyššími hodnotami ročních průměrných koncentrací rtuti v ovzduší


2.2.2.12 Benzo(a)pyren

Přírodní hladina pozadí benzo(a)pyrenu může být s výjimkou výskytu lesních požárů téměř nulová [15]. Příčinou jeho vnosu do ovzduší, stejně jako ostatních polyaromatických uhlovodíků (PAH), jejichž je benzo(a)pyren hlavním představitelem, je jednak nedokonalé spalovaní fosilních paliv jak ve stacionárních tak i mobilních zdrojích, ale také některé technologie jako výroba koksu a železa. Ze stacionárních zdrojů jsou to především domácí topeniště. Z mobilních zdrojů jsou to zejména vznětové motory spalující naftu. U benzo(a)pyrenu stejně jako u některých dalších polyaromatických uhlovodíků jsou prokázány karcinogenní účinky na lidský organismus [15, 19].

V roce 2004 byl benzo(a)pyren sledován na 16 stanicích (9 stanic ČHMÚ a 7 stanic ZÚ), z toho na 5stanicích (v Ostravě, Karviné, Praze, Ústí nad Labem, Hradci Králové) dochází pravidelně a dlouhodobě k překročení stanoveného imisního limitu (obr. 2.2.29). V roce 2004 došlo k překročení imisního limitu celkem na 9 stanicích ve městech: Ostrava, Karviná, Ústí n. L., Praha, Plzeň, Hradec Králové a Teplice. Na úrovni imisního limitu byla hodnota roční koncentrace na stanici Pardubice Dukla (tab. 2.2.19). Stanice Praha 5-Smíchov, která měří zvýšené koncentrace benzo(a)pyrenu, není uvedena v tab. 2.2.19, protože neměla platný roční průměr.

Pole roční průměrné koncentrace benzo(a)pyrenu (obr. 2.2.30) připravené kombinací modelů rozptylu emisí s naměřenými koncentracemi benzo(a)pyrenu na stanicích ukazuje na významný podíl této komponenty při vymezení oblastí se zhoršenou kvalitou ovzduší. Oblasti, kde došlo k překročení imisních limitů benzo(a)pyrenu, představují necelé 3 % území státu, na němž žije kolem 23 % populace.

Je však třeba mít na zřeteli, že odhad polí ročních průměrných koncentrací benzo(a)pyrenu je zatížen největšími nejistotami. Ty plynou jednak z nedostatečné hustoty měření, tak i z nejistot daných modelováním rozptylu emisí PAHs, kde především emisní inventury PAHs představují největší zdroj nejistot. V roce 2004 došlo k rozšíření měření BaP ve státní imisní síti a k dispozici bylo více platných ročních průměrných koncentrací než v předešlých letech. Do budoucna tak bude k dispozici více podkladů z měření pro vytváření polí koncentrací. Dále je třeba poznamenat, že i v obcích, kde se neměří, a které tedy nejsou zachyceny v mapě znečištění, mohou být zvýšené i nadlimitní koncentrace BaP vlivem lokálních zdrojů.

Tab. 2.2.19 Stanice s nejvyššími hodnotami ročních průměrných koncentrací benzo(a)pyrenu

Obr. 2.2.30 Roční průměrné koncentrace benzo(a)pyrenu v letech 1997–2004 na vybraných stanicích

Obr. 2.2.31 Pole roční průměrné koncentrace benzo(a)pyrenu v ovzduší v roce 2004

Obr. 2.2.32 24hod. koncentrace na stanicích s nejvyššími ročními koncentracemi benzo(a)pyrenu v roce 2004


2.2.2.13 Amoniak

Většina amoniaku emitovaného do ovzduší vzniká rozkladem dusíkatých organických materiálů z chovu domácích zvířat. Zbylá část amoniaku je emitována při spalovacích procesech nebo průmyslové výrobě umělých zemědělských hnojiv. Ukazuje se, že k atmosférickým emisím amoniaku přispívá také automobilová doprava (vznik amoniaku v katalyzátorech). Amoniak má dráždivé účinky na oči, kůži a dýchací cesty. Chronická expozice zvýšeným koncentracím může způsobovat bolesti hlavy a zvracení [20]. Amoniak se významně podílí na obtěžování obyvatelstva zápachem.

Monitoring amoniaku byl provozován v roce 2004 na 3 lokalitách (dvě stanice ČHMÚ a jedna stanice ZÚ). Imisní limit zde nebyl s velkou rezervou překročen. Nejvyšší denní hodnota byla naměřena na stanici Lovosice-MÚ (30 μg.m-3).

Tab. 2.2.20 Stanice s nejvyššími hodnotami denních průměrných koncentrací amoniaku v ovzduší

 

2.2.2.14 Trendy ročních imisních charakteristik SO2, PM10, NO2 a O3 za období 1995–2004

Obr. 2.2.33 předkládá trendy ročních imisních charakteristik SO2, PM10, NO2 a O3 v České republice za období 1995–2004. Do roku 2000 je v celé České republice patrný klesající trend ve znečištění ovzduší SO2, PM10 a NO2. V případě SO2 a PM10 jde o velmi strmý pokles koncentrací do roku 1999. V roce 2001 byl na celém území České republiky původní klesající trend zastaven a došlo naopak k mírnému vzestupu koncentrací SO2 a NO2 a k výraznému zvýšení znečištění PM10. V roce 2004 byl tento vzestupný trend ve znečištění PM10 a NO2 zastaven a došlo naopak k určitému poklesu koncentrací PM10 a NO2 téměř na úroveň roku 2001. Od roku 2003 je patrný mírný pokles koncentrací SO2. Pokud se týká znečištění ovzduší O3, je patrný klesající trend do roku 1997. V letech 1998–2002 koncentrace této látky stagnovaly. V roce 2003 je patrný vzestup koncentrací této látky na úroveň roku 1994. V roce 2004 však z tohoto grafu vyplývá pokles O3 zhruba na úroveň roku 2001.

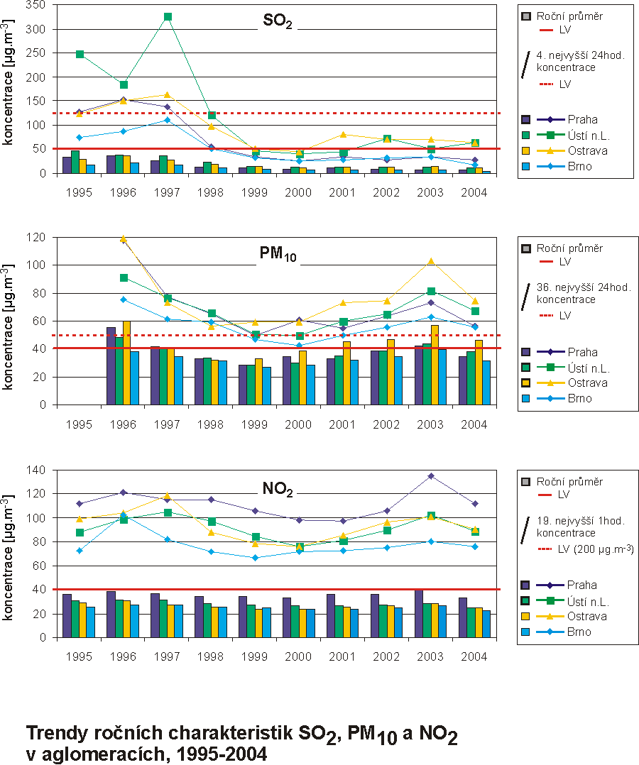
Obr. 2.2.34 ukazuje trendy ročních imisních charakteristik SO2, PM10 a NO2 za období 1995–2004 (PM10 od roku 1996) pro aglomerace: Praha, Ústí n. L., Ostrava a Brno. Do roku 1999 je v aglomeracích patrný výrazný klesající trend ve znečištění ovzduší SO2 a PM10, v případě NO2 se jedná pouze o mírný pokles. V roce 2001 byl dosavadní klesající trend zastaven a došlo naopak k mírnému vzestupu koncentrací SO2 a NO2 a k výraznému zvýšení znečištění PM10, zejména v ostravské aglomeraci. V roce 2004 došlo naopak ke snížení znečištění ve všech sledovaných znečišťujících látkách v aglomeracích s výjimkou mírného vzestupu koncentrací SO2 v ústecké aglomeraci. Příčinou zmíněného poklesu v r. 2004 ve srovnání s r. 2003 bylo ovšem vysoké znečištění v r. 2003 vzhledem k extrémně nepříznivým meteorologickým podmínkám (extrémně suchý rok).

Obr. 2.2.33 Trendy ročních charakteristik SO2, PM10, NO2 a O3 v České republice, 1995–2004

Obr. 2.2.34 Trendy ročních charakteristik SO2, PM10 a NO2 v aglomeracích, 1995–2004


2.2.3 Oblasti se zhoršenou kvalitou ovzduší z hlediska ochrany zdraví

Pro vymezení zón a aglomerací se zhoršenou kvalitou ovzduší ve smyslu nového zákona o ochraně ovzduší bylo podle imisních limitů a mezí tolerancí, stanovených novou legislativou, provedeno pro jednotlivé stanice vyhodnocení překračování limitu pro roční průměrné koncentrace SO2, PM10, NO2, olova, benzenu, benzo(a)pyrenu, kadmia, arsenu, niklu, rtuti a amoniaku. Dále byly vypočteny četnosti překračování denních limitů pro frakci PM10 a SO2, četnosti překračování hodinových imisních limitů pro SO2 a NO2 a četnosti překračování 8hodinových imisních limitů oxidu uhelnatého a ozonu.

Výše popsanými postupy mapování byly připraveny mapy územního rozložení příslušných charakteristik kvality ovzduší (obr. 2.2.2, 2.2.6, 2.2.7, 2.2.10, 2.2.16, 2.2.20, 2.2.23, 2.2.26 a 2.2.31) prezentované v předchozích částech. Oblasti s hodnotami imisních charakteristik většími než příslušné imisní limity (červeně, případně fialově vyznačené oblasti) tak vymezují oblasti se zhoršenou kvalitou ovzduší. Tab. 2.2.21 shrnuje seznam oblastí v členění na kraje a okresy ČR, kde byla podle výsledku mapování rozložení imisních charakteristik překročena v roce 2004 úroveň imisních limitů pro ochranu zdraví s uvedením procent překročení příslušného území. Tab. 2.2.22 pak sumarizuje za rok 2004 oblasti překročení imisních limitů včetně mezí tolerance pro ochranu zdraví. Tabulky ukazují procenta překročení příslušných imisních limitů pro odpovídající území pro jednotlivé komponenty a imisní charakteristiky a v souhrnu jsou pak uvedeny oblasti, ve kterých je překročen alespoň jeden imisní limit některé z komponent. Procenta překročení uvedená v souhrnu v tab. 2.2.21 odpovídají procentům území uvedeného administrativního celku, ve kterém je překročen aspoň jeden imisní limit z uvedeného souboru limitů pro ochranu zdraví. Mapa na obr. 2.2.35 znázorňuje vymezení oblastí/obcí se zhoršenou kvalitou ovzduší vzhledem k limitům pro ochranu zdraví bez zahrnutí ozonu v roce 2004.

Tabulka 2.2.23 pak ukazuje pro rok 2004 překročení cílového imisního limitu O3 pro ochranu zdraví v rámci krajů a okresů ČR, % plochy územního celku. Ozon je uveden v samostatném přehledu, protože je zřejmé, že opatření pro snížení koncentrací překračujících cílový imisní limit, případně dlouhodobé imisní cíle pro ozon, má spíše smysl přijímat na regionální a národní úrovni. Oblasti se zhoršenou kvalitou ovzduší vzhledem k cílovému imisnímu limitu pro ozon pro ochranu zdraví jsou prezentovány mapou na obr. 2.2.20.

Mapa na obr. 2.2.36 znázorňuje vymezení oblastí/ obcí se zhoršenou kvalitou ovzduší vzhledem k limitům pro ochranu zdraví se zahrnutím ozonu.

Tab. 2.2.21 Překročení LV v rámci krajů a okresů ČR, % plochy územního celku, 2004

Tab. 2.2.22 Překročení LV+MT v rámci krajů a okresů ČR, % plochy územního celku, 2004

Tab. 2.2.23 Překročení cílového imisního limitu O3 pro ochranu zdraví v rámci krajů a okresů ČR, % plochy územního celku, 2004

Obr. 2.2.35 Vyznačení oblastí/obcí se zhoršenou kvalitou ovzduší vzhledem k limitům pro ochranu zdraví, bez zahrnutí ozonu, 2004

Obr. 2.2.36 Vyznačení oblastí/obcí se zhoršenou kvalitou ovzduší vzhledem k limitům pro ochranu zdraví, se zahrnutím ozonu, 2004



2.2.4 Kvalita ovzduší vzhledem k imisním limitům pro ochranu ekosystémů a vegetace

Vedle imisních limitů pro ochranu zdraví zavádí nová národní legislativa, v souladu se směrnicemi EU, i imisní limity pro ochranu ekosystémů a vegetace. Tyto limity přehledně uvádí tab. 2.2.24.

Tab. 2.2.24 Limitní hodnoty pro ochranu ekosystémů a vegetace podle nařízení vlády č. 350/2002 Sb., kterým se stanoví imisní limity a podmínky a způsob sledování, posuzování, hodnocení a řízení kvality ovzduší

Území, na nichž musí být podle nařízení vlády dodržovány imisní limity pro ochranu ekosystémů a vegetace (EKO zóny), jsou:

  1. území národních parků a chráněných krajinných oblastí
  2. území s nadmořskou výškou 800 m n.m. a vyšší
  3. ostatní vybrané lesní oblasti podle publikace ve Věstníku MŽP.

V obrázcích jsou tato území zvláště vyznačena a specifikována v legendě. Chráněné krajinné oblasti, které jsou v návrhu, ale ke konci r. 2004 nedošlo k jejich vyhlášení, nejsou v mapách vyznačeny.



2.2.4.1 Oxid siřičitý

Výsledky monitorování znečištění ovzduší oxidem siřičitým ve vztahu k imisnímu limitu pro ochranu ekosystémů jsou prezentovány v tab. 2.2.25 a na obr. 2.2.37 a 2.2.38. Z celkového počtu 21 stanic klasifikovaných jako venkovské – EKO (stanice v EKO zónách splňují z hlediska umístění alespoň 1 výše uvedenou podmínku a, b, c), ze kterých byla dodána platná data pro rok 2004, nedošlo na žádné stanici k překročení limitu pro roční průměrnou koncentraci. Rovněž žádná EKO stanice nevykazovala překročení imisního limitu pro zimní průměrnou koncentraci 2004/2005 (tab. 2.2.25).

Z obr. 2.2.37 je patrné výrazné zlepšení kvality ovzduší vzhledem k znečištění oxidem siřičitým po roce 1997 v souvislosti s nabytím účinnosti zákona č. 309/1991 Sb. a splněním předepsaných emisních limitů ke konci roku 1998. V zimním průměru 2004/2005 bylo na většině venkovských stanic zaznamenáno mírné snížení znečištění SO2, což pravděpodobně souvisí s poněkud zvýšenou teplotou oproti předchozímu zimnímu období 2003/2004.

Mapa na obr. 2.2.38 ukazuje, že k překračování tohoto imisního limitu došlo v roce 2004 zcela ojediněle a v oblastech, které nepatří mezi vymezená území pro ochranu ekosystémů a vegetace, dále pak na velmi malé části Krušných hor a Českého středohoří, kde překročení imisního limitu nedosahuje ani 0,05 % rozlohy vymezených území pro ochranu ekosystémů a vegetace. Poněkud zvýšené koncentrace SO2 v hodnotách 12–20 μg.m-3 v oblasti východních Čech byly vypočítány numerickým modelem. Pro konstrukci mapy byly použity všechny stanice měřící SO2, bodovými značkami jsou vyznačeny pouze stanice venkovské, určené pro hodnocení ekosystémů a vegetace.

Tab. 2.2.25 Stanice s nejvyššími hodnotami zimních průměrů koncentrací oxidu siřičitého na venkovských stanicích, 2004/2005

Obr. 2.2.37 Zimní průměrné koncentrace oxidu siřičitého v letech 1992/1993–2004/2005 na vybraných stanicích

Obr. 2.2.38 Pole průměrné koncentrace oxidu siřičitého v zimním období 2004/2005


2.2.4.2 Oxidy dusíku

Tab. 2.2.26 a obr. 2.2.39 a 2.2.40 prezentují situaci znečištění NOx ve vztahu k ochraně vegetace. Roční limit NOx (30 μg.m-3) nebyl v roce 2004 překročen na žádné stanici, klasifikované jako venkovská – EKO. V tabulce i mapě jsou pro rok 2004 zahrnuty také venkovské stanice měřící NO2, jelikož rozdíl proti koncentracím NOx je ve volné krajině zanedbatelný.

V roce 2004 došlo na většině venkovských stanic k velmi mírnému snížení roční průměrné koncentrace NOx (obr. 2.2.39). Jak je patrné z mapy na obr. 2.2.40, na velmi omezených lokalitách území vymezeného nařízením vlády pro ochranu vegetace došlo na 0,75 % rozlohy takto vymezených území k překročení příslušných limitů NOx pro ochranu ekosystémů a vegetace. K tomuto překračování dochází ojediněle zejména v severních Čechách, v malé části Krušných hor a Českého středohoří a ve Středočeském kraji.

Pro konstrukci mapy pole NOx byly použity všechny stanice měřící NOx včetně venkovských stanic měřících NO2. Na mapě jsou formou bodových značek vyznačeny pouze stanice venkovské, určené pro hodnocení ekosystémů a vegetace.

Konstrukce mapy pole NOx zahrnuje kombinaci měření a modelování, v roce 2004 jsou podrobněji zahrnuty výsledky modelování z dopravy než v uplynulých letech. Vzhledem k měřítku modelování nejsou zahrnuty všechny úseky silnic nižších kategorií. Vyšší koncentrace této látky mohou být i v blízkosti místních komunikací v obcích s intenzivní dopravou a hustou místní dopravní sítí.

Tab. 2.2.26 Stanice s nejvyššími hodnotami ročních průměrných koncentrací na venkovských stanicích, oxidy dusíku

Obr. 2.2.39 Roční průměrné koncentrace oxidů dusíku v letech 1992–2004 na vybraných stanicích

Obr. 2.2.40 Pole roční průměrné koncentrace oxidů dusíku v roce 2004


2.2.4.3 Přízemní ozon

Pro hodnocení ochrany vegetace před nadměrnými koncentracemi ozonu využívá národní legislativa ve shodě s příslušnou směrnicí EU expoziční index AOT402. Přehled stanic s nejvyššími hodnotami expozičního indexu AOT40 uvádí tab. 2.2.27. Z celkového počtu 27 venkovských a předměstských stanic, pro které je podle legislativy relevantní výpočet AOT40, došlo v roce 2004 (jedná se o průměr za roky 2000–2004) k překročení cílového imisního limitu pro ochranu vegetace pro ozon na 17 lokalitách. Cílový imisní limit pro ochranu vegetace byl překročen v průměru za totéž období na 8 z 9 lokalit měřících na území definovaném nařízením vlády, na kterém nemá dojít k překročení limitu pro ochranu vegetace (ty jsou v tabulce označeny v posledním sloupci kódem EKO). Obr. 2.2.41 znázorňuje hodnoty expozičního indexu AOT40 v průměru za 5 let (min. 3 roky) na vybraných stanicích v období 1995–2004.

Územní rozložení expozičního indexu AOT40 v roce 2004 ukazuje mapa na obr. 2.2.42. Z mapy vyplývá, že na 95,9 % území, na kterém nemá podle nařízení vlády dojít k překročení limitu pro ochranu vegetace, došlo v průměru za roky 2000–2004 k překročení. Výrazně vyšší podíl území, na kterém došlo k překročení limitní hodnoty pro ozon (a to zejména z hlediska působení na vegetaci, méně pak z hlediska působení na zdraví) v r. 2004 ve srovnání s rokem předcházejícím, je dán tím, že pro konstrukci map bylo použito vyššího regresního koeficientu. Důvodem pro to bylo zjištění strmějšího růstu koncentrací ozonu s nadmořskou výškou v hodnoceném období. Obr. 2.2.43 prezentuje vývoj AOT40 v období 2000–2004 na vybraných stanicích.

2AOT40: kumulativní expozice ozonem AOT40 se spočte jako suma diferencí mezi hodinovou koncentrací ozonu a prahovou úrovní 80 μg.m-3 (= 40 ppb) pro každou hodinu, kdy byla překročena tato prahová hodnota. Podle požadavků nařízení vlády č. 350/2002 Sb. se AOT40 počítá pro období tří měsíců od května do července, změřených každý den mezi 8:00 a 20:00 SEČ (= 7:00 až 19:00 světového času (UTC).

Tab. 2.2.27 Stanice s nejvyššími hodnotami AOT40 ozonu na venkovských a předměstských stanicích

Obr. 2.2.41 Hodnoty expozičního indexu AOT40 ozonu v letech 1995–2004 na vybraných stanicích, průměr za 5 let

Obr. 2.2.42 Pole hodnot expozičního indexu AOT40 ozonu, průměr za 5 let, 2000 - 2004

Obr. 2.2.43 Stanice s nejvyššími hodnotami AOT40 za posledních 5 let, 2000–2004


2.2.5 Oblasti se zhoršenou kvalitou ovzduší z hlediska ochrany ekosystémů a vegetace

Na základě mapování rozložení imisních charakteristik pro rok 2004 relevantních z hlediska ochrany vegetace prezentovaných na obr. 2.2.38 a 2.2.40 je ukázáno rozložení překročení imisních limitů pro roční průměrné koncentrace NOx a zimní průměrné koncentrace SO2 pro ochranu ekosystémů a vegetace.

Vyhodnocení překročení těchto limitů je provedeno pouze pro území vymezené pro ochranu ekosystémů a vegetace podle nařízení vlády č. 350/2002 Sb. Výsledné vyznačení oblastí se zhoršenou kvalitou ovzduší vzhledem k imisním limitům pro SO2 a NOx pro ochranu ekosystémů/vegetace ve smyslu zákona č. 86/2002 Sb., pro rok 2004 ukazuje obr. 2.2.44.

Tab. 2.2.28 ukazuje pro rok 2004 procentuálně vyjádřenou míru překročení imisních limitů pro ochranu ekosystémů a vegetace pro jednotlivé limity pro NOx, SO2 a AOT40 ozonu pro území vymezené novou legislativou. Z tabulky je zřejmé, že na 96 % území vymezeného pro ochranu vegetace dochází v důsledku nadlimitních koncentrací ozonu k překračování cílového imisního limitu pro AOT40 (obr. 2.2.45).

Tab. 2.2.28 Podíly území pro ochranu ekosystémů a vegetace s překročením LV, % plochy chráněného území, 2004

Obr. 2.2.44 Vyznačení oblastí se zhoršenou kvalitou ovzduší vzhledem k limitům pro SO2 a NOx pro ochranu ekosystémů/vegetace, 2004

Obr. 2.2.45 Vyznačení oblastí se zhoršenou kvalitou ovzduší pro ekosystémy/vegetaci, překračování limitu AOT40, 2004


2.2.6 Závěry

Provedené vyhodnocení kvality ovzduší pro rok 2004, respektující požadavky nařízení vlády č. 350/2002 Sb., indikuje následující problémy z hlediska splnění termínů stanovených legislativou ČR v oblasti ochrany ovzduší:

L 92 % populace (99,3 % území ČR) bylo v roce 2004 vystaveno koncentracím přízemního ozonu překračujícím cílové imisní limity pro ochranu zdraví lidí.
L Znečištění ovzduší suspendovanými částicemi (frakcí PM10) překračuje stále imisní limity včetně mezí tolerance. Imisní limity pro 24hodinové koncentrace PM10 byly i v roce 2004 překročeny více než 35x téměř ve všech krajích: v Moravskoslezském, Ústeckém, Středočeském, Olomouckém, Karlovarském, Libereckém, Plzeňském, Pardubickém, Jihomoravském a Zlínském a v hlavním městě Praze. V oblastech, kde koncentrace PM10 v roce 2004 překročily imisní limity, žije více než 34 % populace (3,5 % území ČR). Imisní limit pro suspendované částice, a to už s nulovou mezí tolerance, vstupuje v platnost k 1. 1. 2005. Existuje reálný předpoklad, že v r. 2005 bude tento limit překročen, čímž vznikne významný problém se všemi právními důsledky ve vztahu k české i evropské legislativě.
L Dosavadní hodnocení indikují, že dochází k překračování imisního limitu pro benzen v Ostravě především jako důsledek emisí při výrobě koksu.
L V roce 2004 došlo k překročení imisního limitu benzo(a)pyrenu na Ostravsku, v Karviné, Praze, Ústí nad Labem, Teplicícha Hradci Králové. Na úrovni imisního limitu byla hodnota roční koncentrace na stanici Pardubice-Dukla. Imisní limit je dlouhodobě překračován v Ostravě, Karviné, Praze, Ústí nad Labem a v Hradci Králové.
L  Imisní limit pro roční průměrné koncentrace kadmia byl překročen na lokalitě Souš. Lokalita Tanvald (HS) která dlouhodobě měří vysoké koncentrace, nedodala v r. 2004 dostatečný počet dat pro výpočet ročního průměru. I přesto však lze konstatovat, že naměřené hodnoty opět indikují zvýšené znečištění kadmiem.
J Imisní limit pro roční průměrné koncentrace arsenu nebyl (na rozdíl od předchozích let) v r. 2004 překročen.
L Imisní limity pro ochranu ekosystémů a vegetace jsou překračovány na rozsáhlém území v důsledku překračování cílových imisních limitů AOT40 pro ozon. K tomuto překračování dochází na 96 % plochy území vymezeného nařízením vlády pro ochranu ekosystémů a vegetace. Výrazně vyšší podíl území, na kterém došlo k překročení limitní hodnoty pro ozon (a to zejména z hlediska působení na vegetaci, méně pak z hlediska působení na zdraví) v r. 2004 ve srovnání s rokem předcházejícím, je dán tím, že pro konstrukci map bylo použito vyššího regresního koeficientu. Důvodem pro to bylo zjištění strmějšího růstu koncentrací ozonu s nadmořskou výškou.
J K překračování v důsledku nadlimitních koncentrací jak oxidů dusíku, tak oxidu siřičitého dochází v roce 2004 ve velmi omezeném rozsahu v chráněných a zalesněných oblastech zejména Ústeckého, Karlovarského a Středočeského kraje. K překročení dochází pouze na 0,77 % vymezených území pro ochranu ekosystémů a vegetace.
J Imisní limity pro ochranu zdraví pro oxid siřičitý i dusičitý byly v roce 2004 překračovány jen výjimečně na několika málo izolovaných a dopravou exponovaných stanicích, zejména v hlavním městě Praze.

Překračování imisních limitů pro suspendované částice je závažným problémem ve většině evropských měst. Suspendované částice v atmosféře jsou komplikovaný fenomén a jejich aktuální hmotnostně vyjádřená koncentrace je jen zčásti dána příspěvkem lokálních emisí primárních částic, zejména dopravou. Další příspěvek k aktuální koncentraci je dán reemisemi (tedy zvířením již dříve emitovaných částic např. z povrchu vozovek, stavenišť apod.) a zbývající část jsou sekundární anorganické i organické částice vzniklé chemickou transformací plynných složek jak antropogenního původu (SO2, NOx a nemetanické těkavé organické látky), tak i emisemi přírodními. Řešení nadměrných koncentrací suspendovaných částic v evropských městech je nutné řešit jak kooperací v rámci Evropy, tak na místní či regionální úrovni, zejména opatřeními na lokálním způsobu vytápění a snižováním emisí spojených s dopravou včetně zlepšování úklidu komunikací.

Relativně vysoký podíl sekundárních částic ukazuje, že poměrně významného snížení koncentrací PM10 bude možné dosáhnout dalším snižováním emisí složek vedoucích k tvorbě jemné frakce sekundárních částic v atmosférickém aerosolu. Znamená to zejména snižování emisí oxidů dusíku a těkavých organických látek v souladu s požadavkem dosažení národních emisních stropů, ale tak, aby byly do termínů daných zákonem splněny imisní limity pro PM10. Další snižování emisí, zejména oxidů dusíku, ale i emisí těkavých organických látek ve velkoplošném měřítku, je také jedinou cestou možného snižování zátěže nadměrnými koncentracemi přízemního ozonu.


Při interpretaci výsledků hodnocení je nutné zdůraznit, že mapy znečištění ovzduší jsou vytvářeny na základě měření, které je s ohledem na požadavky legislativy směrováno především do velkých aglomerací. Podle odborného odhadu a na základě výsledků publikovaných prací [např. 24, 25] však lze s vysokou pravděpodobností očekávat, že zvýšené i nadlimitní koncentrace řady látek se vyskytují i v malých obcích, kde se neměří a ve kterých u nás žije poměrně značná část populace. Jedná se zejména o koncentrace suspendovaných částic, polyaromatických uhlovodíků a těžkých kovů. Zásadní roli na znečištění ovzduší hraje geomorfologie území, dopravní zátěž a způsob vytápění. Při použití dřeva a uhlí pro vytápění dochází ke zvýšení emisí částic, polyaromatických uhlovodíků a těžkých kovů. Pokud je v lokálních topeništích spalován odpad, dochází navíc k emitování nebezpečných dioxinů.

Je třeba mít na zřeteli, že prezentované mapy jsou vytvořeny na základě nejlepšího známého postupu odpovídajícího současné úrovni poznání a jsou tedy nejlepší známou aproximací reálného stavu znečištění ovzduší. Neznamená to však, že je možné se na ně dívat jako na dogma. Postupy vytváření map je třeba dále zpřesňovat a soustředit se zejména na vyjádření chyby odhadu/pravděpodobnosti, což je záležitost značně komplikovaná.